The independent directory of chemicals and chemical suppliers and producers.
BuyersGuideChem
About
About BGC
Reach & Visibility
Advertising & sponsored Visibility
Privacy policy
Impressum
Contact us
Supplier
Login
List your products and company data
Buyer
Chemical search
Company search
Product listing A-Z
Close ×
Chemical search
Company search
Product Listing A-Z
Login
List your products and company data
About BGC
Reach & Visibility
Advertising & sponsored Visibility
Privacy policy
Impressum
Contact us
BGC
»
Product Search
»
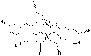
Cyanoethyl sucrose
Suppliers for
Cyanoethyl sucrose
Identification
CAS
: 18304-13-7
Formula
: C34H44N8O11
EINECS
: 242-187-3
» More Properties
4 registered suppliers
P.R.China
Leap Chem Co., Ltd
P.R.China
Skyrun Industrial Co., Ltd.
Germany
BIOZOL Diagnostica Vertrieb GmbH
Germany
BuGuCh & Partners
» extended and detailed list of suppliers at a glance
Member's page
List your products and company data
Chemical search by name
Chemical search by CAS
Product Listing A-Z
Company search by name
Company search by profile
Special sales offers
Buying Leads
Latest product entries
Technical Services
About BGC
Reach & Visibility
Advertising & sponsored Visibility
Privacy Policy
Impressum
Sitemap
Contact us
© Copyright 1996 to 2026 by Netvertise GmbH. All rights reserved. Reproduction of any materials from the site is strictly forbidden without permission.