The independent directory of chemicals and chemical suppliers and producers.
BuyersGuideChem
About
About BGC
Reach & Visibility
Advertising & sponsored Visibility
Privacy policy
Impressum
Contact us
Supplier
Login
List your products and company data
Buyer
Chemical search
Company search
Product listing A-Z
Close ×
Chemical search
Company search
Product Listing A-Z
Login
List your products and company data
About BGC
Reach & Visibility
Advertising & sponsored Visibility
Privacy policy
Impressum
Contact us
BGC
»
Product Search
»
Hydroxypropylmethylcellulose (...
Suppliers for
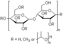
Hydroxypropylmethylcellulose (HMPC)
Identification
CAS
: 9004-65-3
Formula
: C56H108O30
» More Properties
Show all suppliers for the CAS No 9004-65-3
for the following products HPMC | Hydroxypropyl methyl cellulose | Hypromellose | Hypromellose, apparent viscosity 4000 | Methocel K 15 and Hydroxypropylmethylcellulose (HMPC)
10 registered suppliers
P.R.China
Simagchem Corporation
P.R.China
Dayang Chem (Hangzhou) Co.,Ltd.
P.R.China
Ronas Chemicals Ind. Co., Ltd.
Belgium
AXO Industry SA
P.R.China
Nantong Xindao Biotech Ltd
P.R.China
Hangzhou Lingrui Chemical Co., Ltd.
Germany
BuGuCh & Partners
USA
Mays Chemical Co., Inc.
Belgium
Keyser & Mackay C.V.
Germany
Dow Deutschland Anlagengesellschaft mbH
» extended and detailed list of suppliers at a glance
Member's page
List your products and company data
Chemical search by name
Chemical search by CAS
Product Listing A-Z
Company search by name
Company search by profile
Special sales offers
Buying Leads
Latest product entries
Technical Services
About BGC
Reach & Visibility
Advertising & sponsored Visibility
Privacy Policy
Impressum
Sitemap
Contact us
© Copyright 1996 to 2026 by Netvertise GmbH. All rights reserved. Reproduction of any materials from the site is strictly forbidden without permission.